This is a lovely result!
As the paper says, a teenager in Argentina had an idea while taking a shower, then friends helped make it precise, and they reached out to a YouTube mathematician who helped with polishing and writing it up.
As a byproduct they prove that e is irrational. https://twitter.com/sigfpe/status/1323382587335667713
As the paper says, a teenager in Argentina had an idea while taking a shower, then friends helped make it precise, and they reached out to a YouTube mathematician who helped with polishing and writing it up.
As a byproduct they prove that e is irrational. https://twitter.com/sigfpe/status/1323382587335667713
The formulae & proofs given in the paper are not too hard to verify, but it took me a while to digest them and get some intuition, and retrace a possible path from “shower thoughts” to “paper in the American Mathematical Monthly”. In case it helps someone, here are some pictures:
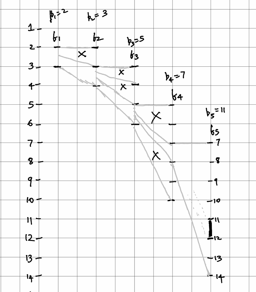
We'd like a sequence of real numbers f1, f2, f3, … such that fᵢ is between pᵢ and (pᵢ+1), i.e. ⌊fᵢ⌋ = pᵢ. We'll get this by multiplication, roughly.
For an integer m, given a real number x, consider the operation of taking (1 + fractional part of x) and multiplying by m.
For an integer m, given a real number x, consider the operation of taking (1 + fractional part of x) and multiplying by m.
That is, if {x} denotes the fractional part of x, then note that 0≤{x}<1, so 1≤1+{x}<2. So to multiply an integer m by (1+{x}) is to multiply it by some number between 1 and 2. If we imagine {x} varying continuously from 0 to 1, then m(1+{x}) varies from m to 2m.
Below, m=⌊x⌋
Below, m=⌊x⌋
So the function
x → ⌊x⌋(1 + {x})
takes a number x to a number between ⌊x⌋ and 2⌊x⌋.
If we pick x=f₁ to be between 2 and 3, then
f₂=⌊x⌋(1 + {x}) will be between m=2 and 2m=4; moreover we can force it to be between 3 and 4 by picking it from the later half (ie 2.5 to 3)
x → ⌊x⌋(1 + {x})
takes a number x to a number between ⌊x⌋ and 2⌊x⌋.
If we pick x=f₁ to be between 2 and 3, then
f₂=⌊x⌋(1 + {x}) will be between m=2 and 2m=4; moreover we can force it to be between 3 and 4 by picking it from the later half (ie 2.5 to 3)
As x varies smoothly over such f₂ (between m=3 and m+1=4), as before
f₃=⌊x⌋(1 + {x}) will correspondingly vary between m=3 and 2m=6.
We can force the result to be between 5 and 6, by picking x (=f₂) to be in the last 2/3rds of [3, 4].
This in turn constrains our original f₁
f₃=⌊x⌋(1 + {x}) will correspondingly vary between m=3 and 2m=6.
We can force the result to be between 5 and 6, by picking x (=f₂) to be in the last 2/3rds of [3, 4].
This in turn constrains our original f₁
Hopefully you get the idea: we can, each time, constrain the result of the next iteration x → ⌊x⌋(1 + {x}) to be between p and p+1 (which happen to be in the range, by Bertrand's postulate) by constraining the interval for x, and this can be traced back to a constraint on f₁.
In the limit, the constraints narrow and we get a constant. https://en.wikipedia.org/wiki/Arithmetic_coding
Something like that is my mental picture.
That such a constant will exist is an idea that someone, more talented than me, could conceivably have in the shower, after which one can try to compute
Something like that is my mental picture.
That such a constant will exist is an idea that someone, more talented than me, could conceivably have in the shower, after which one can try to compute
the constant etc: story as in the paper.
We can also see the corollary: instead of primes we can take any sequence satisfying Bertrand's postulate, etc.
Apart from my unclear handwriting/drawing/explanation, maybe my mental picture itself is idiosyncratic to me and someone else
We can also see the corollary: instead of primes we can take any sequence satisfying Bertrand's postulate, etc.
Apart from my unclear handwriting/drawing/explanation, maybe my mental picture itself is idiosyncratic to me and someone else
has others. But whatever our mental picture, by the time we try to formalize it for writing down in a paper, it inevitably vanishes. The reader has to reconstruct one for themselves.
Papers are “low-bandwidth”, as described in wonderful paper by Thurston: https://arxiv.org/abs/math/9404236
Papers are “low-bandwidth”, as described in wonderful paper by Thurston: https://arxiv.org/abs/math/9404236
Read on Twitter