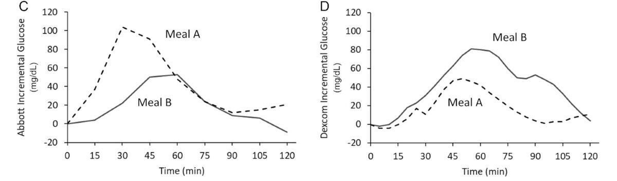
Our latest paper offers a cautionary note for proponents of Precision Nutrition: ”Imprecision nutrition? Different simultaneous continuous glucose monitors provide discordant meal rankings for incremental postprandial glucose in subjects without diabetes” https://academic.oup.com/ajcn/advance-article/doi/10.1093/ajcn/nqaa198/5885180
Publication of our cautionary study is quite timely given that @NIHDirector and @NIDDKgov also published their Viewpoint article in @JAMA_current on Precision Nutrition this week: https://jamanetwork.com/journals/jama/fullarticle/2769420
Read on Twitter